
Оптика
Изучены особенности пространственно-временной динамики слабого (пробного) короткого импульса в оптически плотной среде трехуровневых атомов в условиях индуцированной прозрачности, наведенной мощным (управляющим) импульсом, взаимодействующим со смежным переходом. Показано, что групповая скорость слабого пробного импульса по мере его распространения в среде уменьшается, а сам импульс перекачивется в управляющий импульс. При этом наблюдается пространственная локализация атомной (рамановской) когерентности (рис.). Ее время жизни определяется временем затухания. Это явление можно использовать для записи хранения и считывания оптической информации. Аналогичный эффект имеет место и в случае, когда оба импульса являются сильными.
|
|
|
Зависимости нормированной частоты Раби пробного импульса gp и атомной когерентности r20 как функции длины среды и времени. Длина измеряется в единицах длины линейного поглощения, а время - в единицах длитетельности пробного импульса. |
V.G.Arkhipkin, I.V.Timofeev. Spatial evolution of short laser pulses under coherent population trapping. Phys. Rev. A, 64, 053811 (2001).
Выполнены исследования механизмов фотоагрегации ионостабилизированных гидрозолей серебра, гидрозолей стабилизированных ионогенными и неионогенными полимерами.
Выполнены экспериментальные исследования зависимости нелинейного показателя преломления гидрозолей серебра от степени его агрегации в поле лазерных импульсов с длиной волны 1.064 мкм нано- и пикосекундной длительности. Обнаружена смена знака нелинейного показателя преломления, соответствующая смене сомофокусоровки режимом самодефокусировки. Показано, что причиной обнаруженного эффекта является возмущение плазмонных резонансов серебра и колебательных переходов воды и конкуренция керровских нелиннейных поляризаций с участием этих резонансов.
Исследованы особенности процесса четырехволнового смешения частот коротких лазерных импульсов в условиях двухфотонного резонанса, контролируемого дополнительным сильным полем. Численно проанализированы различные режимы получения максимальной когерентности на двухфотонном переходе. Показано, что при соответствующем выборе задержек между взаимодействующими импульсами эффективность преобразования может быть существенно увеличена, по сравнению с традиционными схемами четырехволнового смешения частот.
Изучено явление пространственной локализации атомной когерентности, которое имеет место при распространении пробного импульса в условиях электромагнитно индуцированной прозрачности в оптически плотной среде трехуровневых атомов. Также показано, что в условиях существования адиабатонов возможно эффективное нелинейно-оптическое смешение частот.
Работы выполнялись совместно с Красноярским госуниверситетом
и были поддержаны грантами РФФИ №99-02-39003С и ИНТАС 99-00019
Исполнитель - лаборатория когерентной оптики.
Зав. лаборатории - д.ф.-м.н. А. К. Попов.
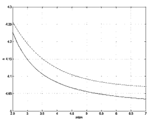
Отработана методика измерения спектральных и температурных зависимостей показателя преломления слабо поглощающих кристаллов в ИК области спектра с точностью до 10-5. Оперативное получение этих данных необходимо для контроля технологического процесса в производстве материалов инфракрасной техники и сертификации продукции. Методика измерений основана на применении стандартного цифрового Фурье-спектрометра и пригодна для использования в заводских лабораториях.
|
|
Зависимость показателя преломления германия для двух температур в средней ИК области спектра. Штриховая линия - Т = 100 0С. Сплошная линия - Т = 20 0С.
|
Исследованы статическое смещение и расщепление поляризованных полос фото- и электролюминесценции одноосных примесных молекул в одноосных полимерных пленках с осевой и плоскостной ориентацией примесной подсистемы, а также в застеклованной фазе нематического жидкого кристалла. Установлена зависимость смещения и расщепления полос от ориентационной упорядоченности примесных молекул, поляризации электронных переходов в поглощении и излучении, анизотропных взаимодействий примесь-матрица различного ранга. Для обоих типов матриц выявлены характерные особенности ориентационной статистики примесных молекул при высокой степени ориентационной упорядоченности, которые проявляются в качественном различии зависимостей положения и расщепления поляризованных полос примесной флуоресценции от параметра порядка примесных молекул. Объяснены экспериментально наблюдаемые особенности поляризованной примесной фото- и электролюминесценции для рассматриваемых типов матриц.
Развита молекулярно-статистическая теория диэлектрической проницаемости в оптической области для чистых и примесных нематических ЖК с молекулами, имеющими конформационную степень свободы внутреннего вращения. Установлена связь интенсивности и дихроизма полос поглощения с параметрами конформационного, ориентационного и смешанного порядка молекул. Исследовано влияние корреляции конформационных и ориентационных степеней свободы на зависимость измеряемых сил осцилляторов молекулярных переходов от ориентационной упорядоченности молекул. На основе экспериментальных данных по спектрам электронного поглощения примесных молекул красителей в нематических матрицах установлено наличие корреляции конформационных и ориентационных степеней свободы молекул в нематических ЖК. Дано молекулярно-статистическое обоснование наблюдаемой универсальной зависимости сил осцилляторов молекулярных переходов от параметра порядка ЖК.
Развита молекулярно-статистическая теория нематических жидких кристаллов (ЖК) с сопряженными молекулами, имеющими конформационную степень свободы внутреннего вращения. Предложен метод рекуррентных соотношений между моментами функции смешанного конформационно-ориентационного распределения молекул для получения аналитических аппроксимаций частных функций конформационного и ориентационного распределения. Исследовано влияние взаимной корреляции молекулярных конформационных и ориентационных степеней свободы на измеряемые параметры конформационного и ориентационного порядка молекул и температуру фазового перехода нематик - изотропная жидкость. Показан взаимосогласованный характер молекулярных и структурных превращений при фазовом переходе нематический ЖК - изотропная жидкость.
Установлена связь двулучепреломления двуосных термотропных нематических ЖК с параметрами ориентационной упорядоченности молекул а анизотропией молекулярной поляризуемости. Показано, что известные двуосные нематики характеризуются аномально низкими параметрами двуосного порядка, что связано с изменением конформации молекул при их ориентационном упорядочении.
Проведены исследования фазовых переходов в смешанных кристаллах, состоящих из центросимметричных и нецентросимметричных молекул. Смешанные кристаллы, состоящие из изомерных компонентов, таких как парадибромбензол и парадихлорбензол, при концентрации от 0 до 1% парадибромбензола имеет фазовый переход от 303,8К до 326К из Р21/a с Z=2 в P1 с Z=1, что следует из спектров КРС малых частот. Если кристаллы нагреть выше температуры фазового перехода, а затем охладить ниже ТО, интенсивность найденных дополнительных линий вначале возрастает, но потом уменьшается. Это объясняется тем, что при переходе из b в a фазу в решетке твердого раствора еще наблюдается ориентационная и частично трансляционная неупорядоченность, но со временем кристаллическая структура упорядочивается и интенсивность дополнительных линий уменьшается. В b фазе наблюдается уширение линий, что объяснено на основе расчетов по методу Дина спектров малых частот наличием неупорядоченности в расположении молекул примеси. В случае сильного отличия по упаковке кристаллов исходных компонентов нельзя ожидать непрерывного ряда твердых растворов. Примером может служить кристалл парадибромбензола с парахлорнитробензолом. Фазовый переход наблюдается из a в b фазу при 35,5 % парахлорнитробензола. Были подробно изучены спектры малых частот в a фазе при 293К и впервые при 77К. В этой области спектр подобен спектру чистого парадибромбензола. Найден ряд дополнительных линий и уширение их при 293К и 77К. Проведены расчеты по методу Дина. Исследован спектр в области концентраций от 0 до 60% в a и b фазах. Показано, что спектр малых частот в диапазоне от 25% до 50% состоит из суммы спектров a и b фаз. Соотношение их интенсивностей зависит от концентрации компонентов. Обнаружено, что монокристалл в данной области имеет стержневую структуру.
Выполнено компьютерное сопряжение оптико-механической части блока диффузного отражения, разработано программное обеспечение обработки спектральной информации для определения концентрации многофазных дисперсных образцов. Установка позволяет проводить эколого-аналитические исследования естественных природных и техногенных сред в ближней инфракрасной области. Принцип работы может быть использован в дистанционных измерениях.
Исследовано осциллирующее поведение вольт-контрастных характеристик (ВКХ) одноосно ориентированных пленок капсулированных полимером нематических жидких кристаллов в зависимости от величины угла сбора поляризованного светового излучения, прошедшего через образец. Светопропускание, соответствующее области насыщения ВКХ, слабо растет, увеличиваясь лишь на 2% при увеличении угла сбора от 0,2 до 2,0 градусов. В то же время величина светопропускания, соответствующая условиям интерференционного гашения, увеличивается более чем в десять раз. Это приводит к падению контраста с 80:1 до 7:1. Контраст снижается также при отклонении падающего луча от нормали в плоскости ориентации композитной пленки. Так, например, отклонение луча на угол 12 градусов вызывает уменьшение контраста с 60:1 до 40:1. Отсюда следует, что эффект интерференционного усиления контраста в КПЖК модуляторах наиболее хорошо реализуется при их использовании в различных лазерных устройствах и светопроекционных системах.
Измерена зависимость порогового поля в пленках капсулированных полимером нематических жидких кристаллов от анизометрии капель. Изменение формы капель обеспечивалось ее одноосным растяжением. Экспериментальные данные хорошо согласуются с теоретическими оценками значений порогового поля для исследуемого материала.
Разработан низковольтный электрооптический материал на основе сегнетоэлектрических жидких кристаллов (СЭЖК), диспергированных с использованием эпоксидных компаундов, а также технология его изготовления. Материал представляет собой по сути планарно-ориентированный слой СЭЖК, разделенный на небольшие полости удлиненной формы полимерными стенками. Жидкий кристалл имеет непосредственный контакт с управляющими электродами, либо отделен от них сравнительно тонкой (менее 1 микрона) эпоксидной пленкой. Благодаря повышению напряженности действующего поля в такой структуре удалось снизить управляющее напряжение до 6 вольт при толщине пленки 4 микрона, достигнув контраста 30:1 в геометрии скрещенных поляризаторов. Недостатком рассмотренного материала и способа модуляции света является малая величина (обычно не более 10%) максимального светопропускания.
Измерены спектры селективного отражения света капсулированных холестериков с примесями пиримидина по всей температурной области существования мезофазы, которые показывают, что примеси пиримидина индуцируют вторую область отражения. С ростом температуры вторая область отражения сливается с первой. Для анализа полученных данных использована разработанная ранее теоретическая модель, описывающая существование двух областей селективного отражения света, и температурное поведение шагов спирали капсулированных холестериков с примесями пиримидина. Показано качественное согласие теоретических и экспериментальных данных.
Работы выполнены при поддержке гранта INTAS № 97-10177
Исполнитель - лаборатория молекулярной спектроскопии.
Зав. лаборатории - чл.-корр. РАН В. Ф. Шабанов.
|